湖南 切换城市

请选择您所在的城市:

    热门
    城市

    人人书画网中国书画春晚

    发布投稿
    客服热线4008808086
    广告

    中国书法家协会(第1-8届)历任主席回顾 | 附作品

    200-01-01

    阅读:0

    评论:0

    举报

    [摘要] 编者按: 中国书法家协会自1981年成立以来,至今已经产生了八届书协主席,第八届于2021年选举产生了由13人组成中国书协新一届主席团(详情见:中国书协第八届主席孙晓云及12位副主席作品欣赏)及由192人组成的新一届理事会。孙晓云当选为中国书协第八届主席。1中国书法家协会第一届主席舒同﹀中国书协第一届主席 舒同舒同(

    编者按:

        中国书法家协会自1981年成立以来,至今已经产生了八届书协主席,第八届于2021年选举产生了由13人组成中国书协新一届主席团(详情见:中国书协第八届主席孙晓云及12位副主席作品欣赏及由192人组成的新一届理事会。孙晓云当选为中国书协第八届主席。


    图片

    1

    中国书法家协会第一届主席
    舒同
    图片
    中国书协第一届主席  舒同

    舒同(1905-1998),原名文藻,字宜禄,江西省东乡县人。早年毕业于江西抚州省立师范学校。1926年加入中国共产党,后参加红军,经历了中央苏区第一至五次反“围剿”和举世闻名的二万五千里长征。曾担任中共山东省委第一书记、军事科学院副院长、中共八届中央委员、中顾委委员、第五届全国政协常委、中国老年书画研究会名誉会长。1987年先后在北京、济南、上海、福州举办个人书法展,两次率领中国书法家代表团应邀赴日交流。出版有《舒同字帖》《舒同书法集》。

    图片

    图片


    图片


    图片


    图片


    图片


    图片

    舒同《登越》



    中国书法家协会
    第一届领导机构成员名单

    主 席:舒同
    副主席:赵朴初、沙孟海、启 功、周而复、林 林、朱 丹、陈叔亮
    党的领导小组(1981.5-1983.5):朱 丹、陈叔亮、佟 韦

    2

    中国书法家协会第二届主席
    启功
    图片
    中国书协第二届主席  启功

    启功(1912-2005),字元白,也作元伯,满族,爱新觉罗氏,是清世宗的第五子和亲王弘昼的第八代孙,北京人。1938年后任辅仁大学国文系讲师,兼任故宫博物院专门委员,从事故宫文献馆审稿及文物鉴定工作。1952年后任北京师范大学副教授、教授。曾任全国政协常务委员会委员、国家文物鉴定委员会主任委员、中央文史研究馆馆长、中国书法家协会主席、名誉主席、西泠印社社长、北京师范大学教授、博士研究生导师、九三学社顾问、中国佛教协会顾问、故宫博物院顾问、国家博物馆顾问。主要著作有《古代字体论稿》《诗文声律论稿》《启功丛稿》等。

    图片

    图片

    《启功论书绝句百首》局部


    图片

    《行书五言联》


    图片

    《行书横披》


    图片

    《自作诗一首》


    图片

    随园句(一九九三年作)



    中国书法家协会
    第二届领导机构成员名单

    名誉主席:舒 同
    主 席:启 功
    副主席:周而复、方去疾、王学仲、陆 石、沈 鹏、黄 绮
    秘书长:陆 石、佟 韦(1990年12月任命)
    副秘书长:刘 艺、权希军、张 虎(1990年12月任命)

    中国书协党的临时领导小组
    (1987年4月由中宣部、中国文联党组决定成立)

    组 长:佟 韦
    成 员:刘 艺、权希军

    中国书协分党组
    (1990年5月12日由中宣部、中国文联党组决定成立)
    书 记:邵 宇
    副书记:佟 韦
    成 员:刘 艺、权希军、张 虎

    3

    中国书法家协会第三届主席
    邵宇
    图片
    中国书协第三届主席邵宇

    邵宇(1919-1992),原名邵进德、邵蔚,辽宁丹东人。1935年考入北京美术专科学校。1936年参加革命,1938年加入中国共产党。1955年以后,先后任《人民画报》总编辑,《人民日报》美术组组长,人民美术出版社社长、总编辑,中国美术家协会常务理事、书记处书记,曾当选为第三届全国人民代表大会代表,第四至第七届中国人民政治协商会议全国委员会委员。1984年兼任《中国美术全集》编委会主任,主持《中国美术全集》编辑出版工作,1988年任《中国美术分类全集》总编辑,主持出版工程的规划编辑工作。1990年任中国书法家协会主席、党组书记。出版有连环画《土地》,组画《千山万水》《上饶集中营》《邵宇作品选集》。

    图片

    图片

    图片

    中国书法家协会
    第三届领导机构成员名单

    名誉主席:舒 同、启 功
    顾 问:沙孟海、周而复、方去疾、陆 石、黄 绮、谢冰岩、董寿平、武中奇、康 殷、柳 倩、欧阳中石、权希军(1992年8月17日增补)
    主 席:邵 宇
    代主席:沈 鹏(1992年8月起)
    副主席:王学仲、李 铎、刘炳森、刘 艺、佟 韦
    秘书长:谢 云
    副秘书长:张 虎、刘正成

    中国书协分党组
    副书记:谢 云
    成 员:沈 鹏 张 虎

    4

    中国书法家协会第四届主席
    沈鹏
    图片
    中国书协第四届主席  沈鹏

    沈鹏(1931-2023,别署介居,江苏省江阴市人。书法家、美术评论家、诗人、编辑出版家。幼年从师学诗、书、画,后入大学攻读文学、新闻。1950年起在《人民画报》社工作,曾任人民美术出版社编辑室副主任、总编室主任、副总编辑并兼任编审委员会常务副主任,享受国务院批准的政府特殊津贴、出版界专家待遇,1993年3月当选为第八届全国政协委员。第三届中国书法家协会代主席,第四届中国书法家协会主席,中国书法家协会名誉主席、全国政协委员、中国文联荣誉委员、中国美术出版总社编审、艺委会顾问等。已出版有《书画论评》《沈鹏书画谈》《沈鹏书画续谈》《三余吟草》《当代书法精品集·沈鹏卷》《沈鹏书法作品集》《沈鹏书古诗十九首卷》等著作20余种。

    图片
    紫气东来
    创作年代:2023
    规格:35×136cm


    图片

    闲吟一首
    创作年代:2017
    规格:32×26cm


    图片

    逆行抗疫诗
    创作年代:2020
    规格:47×25cm


    图片

    水仙二首之一
    作者:沈鹏
    规格:36×26cm


    图片

    草书辛弃疾词
    创作年代:2012
    规格:68×46cm

    图片
    臻于至善
    尺寸:17cm×69cm

    图片
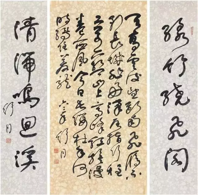
    李白《金陵酒肆留别》
    尺寸:137cm×68cm

    图片
    清华朗润
    尺寸:17cm×69cm

    图片
    毛泽东《沁园春·雪》
    尺寸:96cm×162cm

    释文:北国风光,千里冰封,万里雪飘。望长城内外,惟余莽莽;大河上下,顿失滔滔。山舞银蛇,原驰蜡象,欲与天公试比高。须晴日,看红装素裹,分外妖娆。江山如此多娇,引无数英雄竞折腰。惜秦皇汉武,略输文采;唐宗宋祖,稍逊风骚。一代天骄,成吉思汗,只识弯弓射大雕。俱往矣,数风流人物,还看今朝。


    图片
    襟怀洒落
    尺寸:17cm×69cm

    图片
    王昌龄《芙蓉楼送辛渐》
    尺寸:138cm×69cm

    释文:寒雨连江夜入吴,平明送客楚山孤。洛阳亲友如相问,一片冰心在玉壶。


    图片
    毛泽东《卜算子·咏梅》
    尺寸:142cm×70cm

    释文:风雨送春归,飞雪迎春到。已是悬崖百丈冰,犹有花枝俏。俏也不争春,只把春来报。待到山花烂漫时,她在丛中笑。


    图片
    虞世南《蝉》
    尺寸:132cm×63cm

    沈鹏 凤凰谷创作年代:2023规格:35×136cm


    中国书法家协会
    第四届领导机构成员名单

    名誉主席:启 功
    顾 问:王学仲、刘 艺、李 铎、佟 韦、谢 云
    主 席:沈 鹏
    驻会副主席:张 飙
    副主席:申万胜、朱关田、旭 宇、刘炳森、何应辉、张 海、陈永正、林 岫、周慧珺、钟明善、段成桂、聂成文、尉天池
    秘书长:郭雅君
    副秘书长:张 虎、刘正成、张旭光、吕如雄

    中国书协分党组
    书 记:张 飙
    副书记:张传凯 郭雅君
    成 员:张旭光 吕如雄

    5-6

    中国书法家协会第五、六届主席
    张海
    图片
    中国书协第五、六届主席张海

    张海,1941年生,河南偃师人。现任全国政协常委、中国书法家协会主席、第十届全国人大代表,国家有突出贡献专家。从20世纪60年代末起,即专业从事书法组织和书法创作工作。出版有《张海隶书两种》《张海书法》《张海新作选》《张海书法作品集》《张海书增广汉隶书辨异歌》《张海书法精选》《张海行草书佳作解析·苏辙黄州快哉亭记》等。曾获全国第五届书法篆刻展览全国奖。

    图片
    张海作品

    图片

    张海作品


    图片

    张海作品


    图片

    张海作品


    中国书法家协会
    第五届领导机构成员名单

    名誉主席:沈 鹏
    顾 问:王学仲、刘 艺、李 铎、佟 韦、张 飙、周慧珺、钟明善、尉天池、谢 云
    主 席:张 海
    驻会副主席:赵长青
    副主席:申万胜、朱关田、旭 宇、吴东民、吴善璋、何应辉、言恭达、张业法、陈永正、邵秉仁、林 岫、段成桂、聂成文
    秘书长:赵长青(兼)
    副秘书长:陈洪武、张旭光、吕如雄、戴志祺、白 煦

    中国书协分党组
    书 记:赵长青
    副书记:陈洪武
    成 员:张旭光、吕如雄、戴志祺


    中国书法家协会
    第六届领导机构成员名单

    名誉主席:沈 鹏
    顾 问:王学仲、朱关田、旭 宇、刘 艺、李 铎、佟 韦、张 飙、陈永正、邵秉仁、林 岫、周慧珺、钟明善、段成桂、尉天池、谢 云
    主 席:张 海
    驻会副主席:赵长青
    副主席:王家新、申万胜、苏士澍、吴东民、吴善璋、何应辉、何奇耶徒、言恭达、张业法、张改琴、陈振濂、胡抗美、聂成文
    秘书长:陈洪武
    副秘书长:戴志祺、潘文海

    中国书协分党组
    书  记:赵长青
    副书记:陈洪武
    成 员:戴志祺 潘文海

    7

    中国书法家协会第七届主席
    苏士澍
    图片
    1949年3月生于北京,满族。中国书法家协会第七届主席、中国书画收藏家协会会长、全国政协书画室副主任、中央国家机关书画协会主席、中国文物保护基金会副会长、中国老年书画研究会会长,中国当代著名书法家。善以鸡毫作篆书、隶书,饶有特色。行书流畅含蓄,韵味极浓。
    1997年荣获中国文联“德艺双馨”百家会员称号,同年享受国务院政府特殊津贴;1999年荣获国家人事部“有突出贡献中青年专家”称号。编辑出版了我国古代各种书体工具书和主编多卷本《中国书法艺术》,主持并策划编辑出版了《历代碑帖书法选》、《中国真迹大观》等大型书法专业书,著有《中国书法艺术·秦汉卷》等。

    图片
    苏士澍作品

    图片

    苏士澍作品


    图片

    苏士澍


    图片
    苏士澍作品

    中国书法家协会
    第七届领导机构成员名单

    名誉主席:沈鹏、张海
    主席(1人):苏士澍
    副主席(14人,以姓氏笔画为序):
    王丹、毛国典、包俊宜、刘金凯、刘洪彪、孙晓云、吴东民、何奇耶徒、宋华平、张建会、陈洪武、陈振濂、顾亚龙、翟万益。
    秘书长(1人):郑晓华
    副秘书长(2人):曹建明、潘文海

    8

    中国书法家协会第八届主席
    孙晓云

    图片
    孙晓云,1955年生于江苏南京,中国共产党第十七次、十八次、十九次代表大会代表,国家一级美术师,中国书法家协会第八届主席,江苏省书法家协会主席,江苏省政府参事,江苏省文联副主席,江苏省美术馆名誉馆长。全国书法展、兰亭奖评审委员,中国国家画院书法篆刻院副院长。中央美术学院博导、硕导,苏州大学博导,南京大学中国书法研究院院长。

    图片
    孙晓云作品

    图片
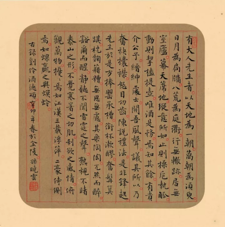
    孙晓云作品  朱庆余《观涛》
    图片
    孙晓云作品  张若虚《春江花月夜》
    图片
    孙晓云作品  苏轼《论书诗六首》局部

    图片
    孙晓云作品
    图片
    孙晓云作品

    图片
    孙晓云作品

    图片
    孙晓云作品

    图片
    孙晓云作品

    图片
    孙晓云作品

    图片

    图片
    孙晓云作品
    图片
    孙晓云作品

    图片
    孙晓云作品

    中国书法家协会
    第八届领导机构成员名单

    名誉主席:沈鹏、张海、苏士澍
    主席(1人):孙晓云
    副主席(12人,以姓氏笔画为序):
    王丹、毛国典、叶培贵、代跃、刘月卯、李昕、张继、张建会、张胜伟、顾亚龙、鄢福初、潘善助

    人已打赏

        ×

        打赏支持

        打赏金额 ¥
        • 1元
        • 2元
        • 5元
        • 10元
        • 20元
        • 50元

        选择支付方式:

        打赏记录
        ×

        精彩评论文明上网理性发言,请遵守评论服务协议

        共0条评论
        加载更多
        书画小艺

        xxx

        0文章
        0总阅读
          广告
          广告

        打赏成功!

        感谢您的支持~

        打赏支持 喜欢就打赏支持一下小编吧~

        打赏金额¥{{ds_num}}
        打赏最多不超过100元,打赏须知

        收银台

        订单总价¥0.00

        剩余支付时间:000000

        手机扫码支付

        使用支付宝、微信扫码支付

        其他支付方式