黑龙江 切换城市

请选择您所在的城市:

    热门
    城市

    人人书画网中国书画春晚

    发布投稿
    客服热线4008808086
    广告

    墨润百年,笔写初心——99岁尹协怡的小楷人生

    200-01-01

    阅读:0

    评论:0

    举报

    [摘要] 墨润百年,笔写初心——99岁尹协怡的小楷人生作者:翰墨人生丙午新春的暖意中,99岁的尹协怡老人坐在江苏省老年公寓的书桌前,握笔、蘸墨、行笔,一笔一划,从容不迫。宣纸上,小楷字迹娟秀端庄,墨色温润,没有丝毫耄耋之年的滞涩,反倒透着一种历经岁月沉淀的清雅与从容。这位生于1928年的江苏镇江老人,用近一个世纪的时

    7ac39bfd9daae834788482308268f2d9.jpg


    墨润百年,笔写初心——99岁尹协怡的小楷人生


    作者:翰墨人生




    丙午新春的暖意中,99岁的尹协怡老人坐在江苏省老年公寓的书桌前,握笔、蘸墨、行笔,一笔一划,从容不迫。宣纸上,小楷字迹娟秀端庄,墨色温润,没有丝毫耄耋之年的滞涩,反倒透着一种历经岁月沉淀的清雅与从容。这位生于1928年的江苏镇江老人,用近一个世纪的时光,与笔墨相伴,以小楷为媒,书写着对生活的热爱、对家乡的眷恋,更诠释着“人书俱老”的至高书法境界。


    尹协怡的书法之路,始于幼年的耳濡目染。在祖父的指导下,她从描红摹写起步,临习《灵飞经》《星录小楷》,一笔一划打下坚实的童子功。即便后来因病休学,笔墨也从未离手;参加工作后,即便事务繁忙,对书法的热爱也始终未减,笔墨纸砚成了她最贴心的陪伴。1984年离休后,尹协怡终于有了充足的时间深耕书法,她进入省级机关老干部活动中心书法班,系统学习十余年,不仅研习古代文学,更在马士达、黄惇等名师的指导下,涉猎书法史、书法理论,临摹真、草、隶、篆诸体,楷书钟情颜柳,隶书取法《张迁》《乙瑛》,行草研习王羲之、米芾法帖,这种全面的学书经历,让她的书法功底愈发深厚。


    如今,99岁的尹协怡已成为江苏省书法家协会会员,其作品曾获江苏省公安系统首届卫士之光书画展优秀奖,入选江苏省第二届妇女书法作品展、江苏省第三届新人书法篆刻作品展,即便如此,她却从未将书法当作“创作”来经营,更不为参展、不为名利。在她眼中,抄写古文是读书的方式,是锻炼身体的方式,更是修身养心的方式——“不为书法而书法”的状态,让她的笔墨少了刻意求工的火气,多了一份自然从容的韵味。


    专业视角审视,尹协怡的小楷有着独树一帜的艺术特色。其一,气息清雅醇和,不急不厉,不松不懈,恰是“从心所欲不逾矩”的从容,这份气息,源于数十年如一日的笔墨坚守,更源于内心的安宁与充实。其二,用笔稳健干净,小楷最忌轻滑飘浮,而她的点画起收分明,行笔沉着,转折交代清晰,每一笔都透着扎实的功夫与沉稳的心性。其三,温润中见骨力,兼具女性的细腻柔情与书法的刚劲风骨,她喜用淡墨,字里行间透着知性典雅,将女性的温润韧劲融入笔墨之中,形成了独有的艺术风格。


    在尹协怡的众多小楷作品中,最动人的莫过于那些饱含爱乡情怀的佳作。作为土生土长的镇江人,她将对家乡的眷恋,一笔一划写进笔墨里。2016年,已近米寿的她将《光明日报》发表的《镇江赋》全文用楷书书写,置于自己的书法作品集《怡然自乐》之首,足见对家乡文化的珍视。她还先后抄录《镇江诗词一百首》《镇江诗词二十四首》,复印成册赠送给镇江籍友人,只为“希望更多的朋友,了解镇江,热爱镇江”。去年,98岁的她还特意为《镇江赋》作者李金坤书写简约版作品,用笔墨传递对家乡文化的崇敬与热爱,这份赤子情怀,令人动容。


    生活中的尹协怡,朴素干净、知性优雅,思维清晰、精神矍铄。前年春节前,书法院组织书法家到老年公寓慰问,她兴致勃勃地拿起毛笔,与大家一同写“福”字,气定神闲、自信满满,吸引了众多专业书家的围观。如今,她依然笔耕不辍,每日坚持书写,即便体力有所衰退,也从未放弃,还计划在今年出版新的小楷作品集,将自己的笔墨心得与热爱传递下去。


    孙过庭《书谱》有云:“人书俱老。”对于尹协怡而言,书法早已超越了单纯的技艺,成为一种有尊严、有温度的生命表达。99载岁月流转,笔墨相伴一生,她用小楷一笔一划延长着生命的宽度,用经典一字一句滋养着晚年的时光。没有惊天动地的壮举,没有刻意张扬的锋芒,尹协怡以笔墨为舟,在岁月长河中从容前行,书写着属于自己的优雅与坚守,也为我们诠释了何为热爱可抵岁月漫长,何为初心能伴百年风华。


    愿这位百岁老人笔墨常新、安康喜乐,愿这份跨越岁月的笔墨情怀,能在时光中永远流淌,滋养更多人的心。



      尹协怡小楷作品欣赏 


    尹协怡小楷作品《游褒禅山记》2013年


    尹协怡小楷作品《六国论》2009年


    尹协怡小楷作品《苏辙黄州快哉亭记》2019年


    尹协怡小楷作品《捕蛇者说》2021年


    尹协怡小楷作品《毛颖传》2015年


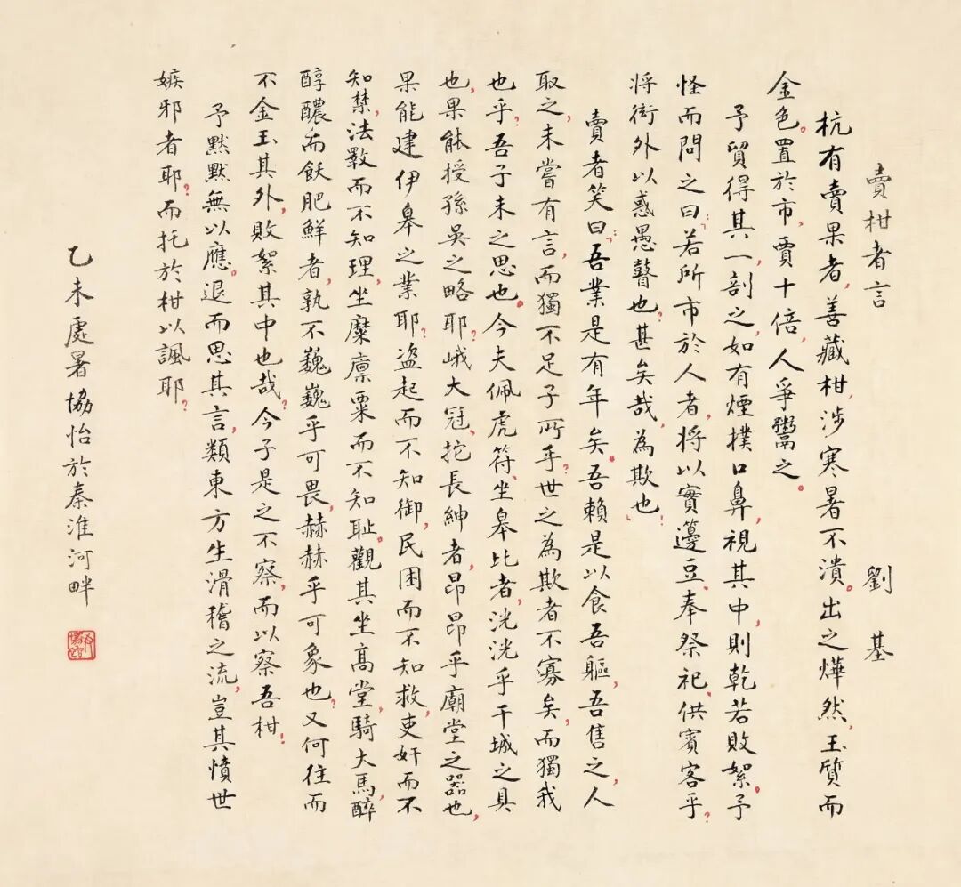
    尹协怡小楷作品《卖柑者言》2015年


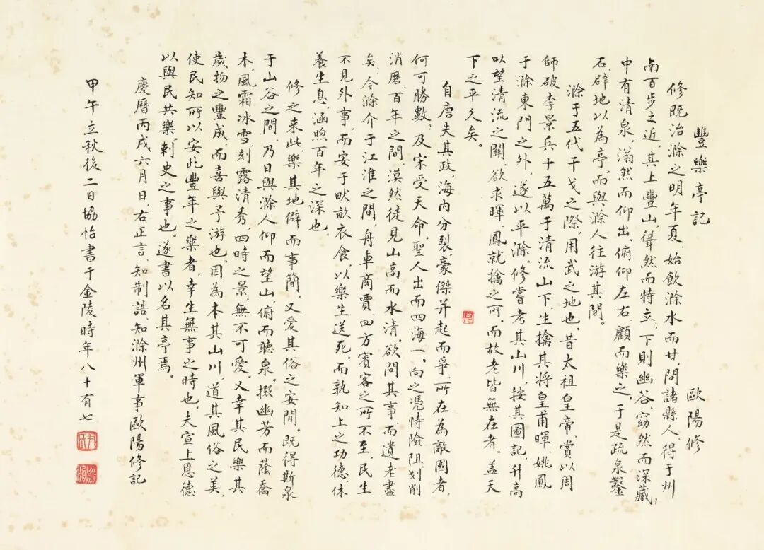
    尹协怡小楷作品《丰乐亭记》2014年


    尹协怡小楷作品《岳阳楼记》2010年


    尹协怡小楷作品《喜雨亭记》


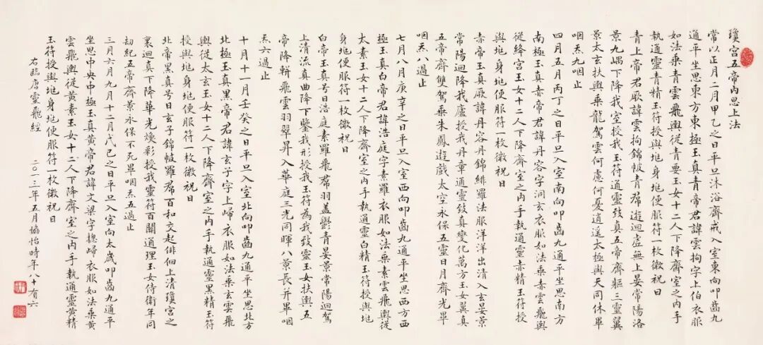
    尹协怡临《灵飞经》2013年






    尹协怡(1928 年 12 月生于江苏镇江,江苏省高院离休干部、省书协会员)99 岁高龄的小楷艺术与代表性作品,附作品赏析:


    学书历程


    尹老幼年在祖父指导下描红摹写,临《灵飞经》《星录小楷》打下童子功;1984 年离休后进入省级机关老干部书法班系统深造十余年,遍临诸家,书法功底极为扎实。她不为参展、不为名利,书写纯粹出于热爱,以抄录古文为读书、修身、养性之道。


    小楷艺术特色


    气息清雅醇和:不急不厉,无火气、不松懈,呈现 “从心所欲不逾矩” 的从容;

    用笔稳健干净:点画起收分明,行笔沉着,转折交代清晰,无轻滑飘浮之弊;

    温润见骨:兼具女性的细腻温润与书法的骨力,淡墨书写更显知性典雅。


    代表性小楷作品


    《游褒禅山记》(2013)

    《六国论》(2009)

    《苏辙黄州快哉亭记》(2019)

    《捕蛇者说》(2021)

    《临灵飞经》(2013)

    《镇江赋》《镇江诗词二十四首》:饱含爱乡情怀,书风端庄典雅。


    补充


    尹老如今居于江苏省老年公寓,99 岁高龄仍笔耕不辍,计划出版新的小楷作品集;她的书法早已超越单纯的技艺,成为一种有尊严、有温度的生命表达,真正印证了孙过庭《书谱》中 “人书俱老” 的至高境界。


    人已打赏

        ×

        打赏支持

        打赏金额 ¥
        • 1元
        • 2元
        • 5元
        • 10元
        • 20元
        • 50元

        选择支付方式:

        打赏记录
        ×

        精彩评论文明上网理性发言,请遵守评论服务协议

        共0条评论
        加载更多

        打赏成功!

        感谢您的支持~

        打赏支持 喜欢就打赏支持一下小编吧~

        打赏金额¥{{ds_num}}
        打赏最多不超过100元,打赏须知

        收银台

        订单总价¥0.00

        剩余支付时间:000000

        手机扫码支付

        使用支付宝、微信扫码支付

        其他支付方式