新疆 切换城市

请选择您所在的城市:

    热门
    城市

    人人书画网中国书画春晚

    发布投稿
    客服热线4008808086
    广告

    鲁迅先生真迹再现,看似随意,唯有真正懂书法的才会喜欢

    200-01-01

    阅读:0

    评论:0

    举报

    [摘要] 鲁迅先生是一代文学大师,长期以来,因其在文学界和思想界的地位反而掩盖了他在绘画、书法、篆刻、设计等方面的成就,北大校徽上的logo就是由蔡元培请鲁迅设计,非常时髦!鲁迅设计的北京大学校徽鲁迅在书法上也颇有造诣。他早年抄写过很长时间的古碑,并热衷于搜寻碑帖拓片,对书法、美术有着很高的鉴赏力。他的书法,古雅


    图片



    鲁迅先生是一代文学大师,长期以来,因其在文学界和思想界的地位反而掩盖了他在绘画、书法、篆刻、设计等方面的成就,北大校徽上的logo就是由蔡元培请鲁迅设计,非常时髦!


    图片

    鲁迅设计的北京大学校徽



    鲁迅在书法上也颇有造诣。他早年抄写过很长时间的古碑,并热衷于搜寻碑帖拓片,对书法、美术有着很高的鉴赏力。他的书法,古雅厚重,文人气十足。无论是精心书写的对联,还是即兴书写的手稿、书信,都大有可观。


    图片

    图片
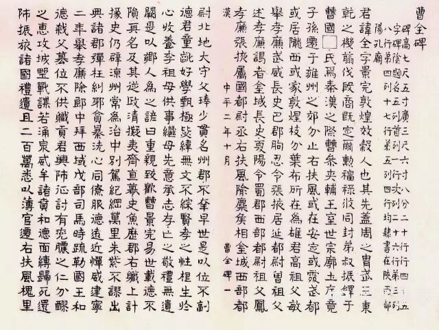
    鲁迅手抄《曹全碑》(国家图书馆藏)


    下面欣赏几件鲁迅先生书法真迹,给大家见识一下鲁迅的书法。


    图片

    鲁迅《自录旧作赠柳亚子——自嘲》238×53.8cm

    1932年 北京鲁迅博物馆藏

    释文:

    运交华盖欲何求,未敢翻身已碰头。

    旧帽遮颜过闹市,破船载酒泛中流。

    横眉冷对千夫指,俯首甘为孺子牛。

    躲进小楼成一统,管他冬夏与春秋。

    达夫赏饭闲人打油偷得半联凑成一律以请

    亚子先生教正 鲁迅


    鲁迅对于线条有着极强的感悟力和表现力。在笔法上,他通常用草书省略、合并的方法来处理,使其笔画短促有力,字形宽博萧疏,短横、短竖常缩减为长点,转折处多圆转,意趣盎然。在运笔上,他不拘成法,删繁就简,极少采用繁复的诸如藏锋、回锋和复杂的提按,也没有令人炫目的草法的缠绕、连带。
    《自嘲》就很好地展现了鲁迅的去繁化简、自然天成。这幅作品章法布局自然,字里行间绝无连带之笔;笔墨浓淡有致,气韵贯通,结体简约大气。其中,“华”“盖”“求”“碰头”“孺子”等字横画、“身”“头”“帽”“流”“俯”等字的竖画都写得很短,“遮”“过”“进”的“走之”偏旁,以一竖一横写就,“敢”“翻”“首”中的两横都以一笔带过,既具温文儒雅的古趣,又有简约生动的飘逸。


    图片

    鲁迅《赠瞿秋白先生联》 141×42cm

    1933年 北京鲁迅博物馆藏



    这副对联是他集兰亭禊帖的字,录入所著《烟屿楼笔记》中“集禊帖字”的联句相赠:“人生得一知己足矣,斯世当以同怀视之”上款为“疑仌道兄属。”“仌”是“冰”字的古文。“凝”为瞿秋白的一个笔名。下署“洛文录何瓦琴句。”“洛文”是鲁迅的笔名之一。
    这幅作品看似行楷,实为行隶,柔中带刚。“人”“得”“己”“足”“世”“之”的末笔全用隶书笔法,金石之气融贯其间。此联浓墨重笔,气象浑穆,峻雄厚宕,大气磅礴,尽显碑派风采。


    图片

    鲁迅 《自题小像》183×45.5cm

    1931年 北京鲁迅博物馆藏

    释文: 

    灵台无计逃神矢,风雨如磐暗故园。

    寄意寒星荃不察,我以我血荐轩辕。

    款署:二十一岁时作,五十一岁时写之,时辛未二月 十六日也。鲁迅。 

    钤印:鲁迅(白文) 


    这首诗是鲁迅21岁写的,51岁重写。在30年中很少写诗,从这以后才开“诗戒”。这是他言志的宣言。尽管祖国在黑暗中,我没有理由不爱她。虽然满腔热诚不被理解,我只管奉献我青春的热血。何等坚贞、猛烈的爱啊。这是《呐喊》和《彷徨》的先声,也是鲁迅毕生奋斗的标灯和旗帜。30年过去,鲁迅无愧无悔。

    这幅《自题小像》手稿行书带有浓郁的篆书之势、隶书之意、草书之妙,刚则强悍,柔则秀美。其起笔沉稳,收笔含蓄,少有出锋;字体宽博浑厚,古拙朴茂。“灵”字引首,似有“黑云压城”之势,行书“风雨”二字飘逸潇洒,用笔老辣,“磐”字出笔沉稳,“暗(闇)”“园”二字转折处圆润遒力,涩意浓重,迟缓有度,具有强烈的视觉美感。

    图片

    鲁迅 《亥年残秋偶作》

    释文: 

    曾惊秋肃临天下,敢遣春温上笔端。

    尘海苍茫沉百感,金风萧瑟走千官。

    老归大泽菰蒲尽,梦坠空云齿发寒。

    竦听荒鸡偏阒寂,起看星斗正阑干。

    款署:辛亥残秋偶作,录应季巿吾兄教正。鲁迅。 

    钤印:鲁迅(白文)


    这首诗作于1935年12月5日,是作者鲁迅赠与好友许寿裳的。许寿裳在1936年的《怀旧》中记载了这首诗的具体创作背景,他说:“去年我备了一张宣纸,请他(鲁迅)写些旧作,不拘文言或白话,到今年七月一日,我们见面,他说去年的纸,已经写就,时正病卧在床,便命景宋检出结我,是一首《亥年残秋偶作》。” 

    这幅作品作品字体端庄古雅,犹如苍松翠柏,秀劲屹立。“干”“正”字为篆书,苍劲有力;“笔”字末一横、“感”“应(應)”中的“心”为隶书遗意,蕴巧于平实,显雅于平凡,颇有魏晋风度。

    图片

     鲁迅《写在“坟”后面》手稿

    这幅 《写在“坟”后面》手稿用笔信手而就,凝练劲健,简穆朴拙,古意盎然;点画率意洒脱,线型质直,遒媚雅逸,看似婉丽飘逸的笔触,灵动而不失古韵。



    鲁迅书法作品欣赏


    图片

    鲁迅 《赠坪井先生答客诮》轴

    113.7×32.3cm 1932年

    上海鲁迅纪念馆藏


    释文:
    无情未必真豪杰,怜子如何不丈夫?
    知否兴风狂啸者,回眸时看小於菟? 
    未年之冬戏作录请坪井先生哂正 鲁迅



    图片
    鲁迅《无题》(惯于长夜过春时)诗稿


    释文:
    惯于长夜过春时,挈妇将雏鬓有丝。
    梦里依稀慈母泪,城头变幻大王旗。
    忍看朋辈成新鬼,怒向刀丛觅小诗。
    吟罢低眉无写处,月光如水照缁衣。 
    午年春作录呈
    季市兄教正鲁迅



     图片
    鲁迅《赠坪井先生答客诮》

    释文:

    无情未必真豪杰,怜子如何不丈夫?

    知否兴风狂啸者,回眸时看小於菟? 

    未年之冬戏作录请坪井先生哂正 鲁迅


    图片
    鲁迅《书李贺诗轴》


    释文:
    长卿牢落悲空舍,曼倩诙谐取自容。
    见买若耶溪水剑,明朝归去事猿公。
    录长吉诗为颂棣先生雅属鲁迅



    图片
    鲁迅新体诗《我的失恋——由她去罢》

    27.2×24.1cm 1924年上海鲁迅纪念馆藏


    释文:
    我的所爱在豪家;
    欲往从之兮没有汽车,仰头无法泪如麻。
    爱人赠我玫瑰花;何以赠之:赤练蛇。
    从此翻脸不理我,不知何故兮——由她去罢。



    关键词: 鲁迅

    人已打赏

        ×

        打赏支持

        打赏金额 ¥
        • 1元
        • 2元
        • 5元
        • 10元
        • 20元
        • 50元

        选择支付方式:

        打赏记录
        ×

        精彩评论文明上网理性发言,请遵守评论服务协议

        共0条评论
        加载更多

        打赏成功!

        感谢您的支持~

        打赏支持 喜欢就打赏支持一下小编吧~

        打赏金额¥{{ds_num}}
        打赏最多不超过100元,打赏须知

        收银台

        订单总价¥0.00

        剩余支付时间:000000

        手机扫码支付

        使用支付宝、微信扫码支付

        其他支付方式